1、防洪評價依據:
《中華人民共和國防洪法》第二十七條:“建設跨河、穿河、穿堤、臨河的橋梁、碼頭、道路、渡口、管道、纜線、取水、排水等工程設施,應當符合防洪標準、岸線規劃、航運要求和其他技術要求,不得危害堤防安全,影響河勢穩定、妨礙行洪暢通;其可行性研究報告按照國家規定的基本建設程序報請批準前,其中的工程建設方案應當經有關水行政主管部門根據前述防洪要求審查同意。”
根據《河道管理范圍內建設項目管理的有關規定(2017年修訂)》,以下項目需要編制防洪評價報告,在河道(包括河灘地、湖泊、水庫、人工水道、行洪區、蓄洪區、滯洪區)管理范圍內新建、擴建、改建的建設項目,包括開發水利(水電)、防治水害、整治河道的各類工程,跨河、穿河、穿堤、臨河的橋梁、碼頭、道路、渡口、管道、纜線、取水口、排污口等建筑物,廠房、倉庫、工業和民用建筑以及其它公共設施(以下簡稱建設項目)。
路燈項目占地面積8.67畝,建筑面積6357.25平米,達到穩定運營后,每年銷售收入穩定在2134.24萬元人民幣左右,利潤穩定在78.11萬元人民幣左右。路燈項目總投資額為1083.63萬元,20%申請政府資金支持,80%自有資金解決,投資利潤率為7.71%;項目投資財務內部收益率(稅后)為0.01%,投資回收期(稅后)為9849.94年,盈虧平衡點 BEP=36.43%。
歡聚四方公司子公司四川鼎立晟攀建筑工程有限公司擁有水利設計乙級資格,專業編制路燈項目防洪評價報告、水資源論證報告,子公司北京華靈四方投資咨詢有限責任公司擁有中國工程咨詢協會甲級資信,為2021年北京市優秀工程咨詢單位,節能評估榮獲北京市優秀工程咨詢獎一項,節能領域實力雄厚,節能報告、項目資金申請報告、項目申請報告,項目建議書,可行性研究報告,效率高,價格低,歡迎來電咨詢,13911268021沈工

路燈項目防洪評價報告
編制防洪評價報告前建設單位提供材料:
(1)項目基本資料、可行性研究報告及批復、目前工程進展情況;
(2)河道劃界報告;
(3)項目涉河工程建設方案、施工方案及相關圖紙、建設項目防洪影響補救工程專項設計方案、建設項目工程建設期間和運營期間服從水利建設和管理的承諾函、建設項目涉及第三方合法水事權益的,提供與第三人協議(不涉及的,提供承諾函)、項目立項證明等必要資料。
以下根據《河道管理范圍內建設項目防洪評價報告編制導則》(SL/T808-2021)編制
1. 概述
1.1. 建設 路燈項目背景
防洪評價報告編制大綱執行《河道管理范圍內建設項目防洪評價報告編制導則》(SL/T 808-2021)附錄B要求,根據防洪綜合評價及分析計算成果,定性或定量歸納建設項目的影響,明確結論,編制單位除按規范要求編寫外,重點做好以下基礎工作:弄清項目涉河工程建設方案、施工方案與河道的相互關系;弄清項目涉河工程建設方案及所處河段的防洪標準;洪評報告針對涉及河道管理范圍內建設項目編制,應弄清項目涉河工程建設方案、施工方案是否存在違背《中華人民共和國防洪法》、《中華人民共和國河道管理條例》以及《涉水建設項目防洪與輸水影響評價技術規范》(DB37T 3704-2019)等要求的限制性因素;確保項目所涉河道資料收集全面,水文、水力、穩定分析等計算方法正確、計算結果可靠;補救措施針對項目實際,確實起到消除和減輕防洪影響的作用。
1.2. 路燈項目防洪影響分析范圍
1.3. 技術路線及工作內容
1.4. 路燈項目高程系統
2. 路燈項目基本情況
2.1. 建設 路燈項目基本情況
2011年1-12 月,山東省其他建筑、安全用金屬制品制造業累計實現產品銷售收入250.16 億元,比上年同期增長37.86% ,山東省其他建筑、安全用金屬制品制造業累計實現利潤總額13.29億元,上年同期為10.89億元。山東省其他建筑、安全用金屬制品制造業總規模以上企業數量169家,虧損企業11家,虧損總額為0.59億元,上年同期為0.05億元。山東省其他建筑、安全用金屬制品制造業產品銷售稅金及附加為1.34億元,去年同期為1.14億元,增長17.05%。
2011年1-12 月,山東省其他建筑、安全用金屬制品制造業資產總計110.60 億元、比去年同期增加14.34% ;負債合計50.08 億元,比去年同期增加93.37% ;其他建筑、安全用金屬制品制造業平均資產負債率為45.28% 。其他建筑、安全用金屬制品制造業應收帳款額為14.47億元,比去年同期增長37.53% ,銷售成本為204.59億元,比去年同期增長31.39% ,銷售費用為4.73億元,比去年同期增長31.70% ,其他建筑、安全用金屬制品制造業管理費用為7.40億元,比去年同期增長20.70% ,其他建筑、安全用金屬制品制造業財務費用為1.72億元,比去年同期增長15.76%, 其他建筑、安全用金屬制品制造業全部從業人員平均人數為22052人。
2.2. 河道基本情況
2.3. 現有水利工程及其他設施情況
特別需要調查上游水庫等水利設施情況
2.4. 水利規劃及實施安排
3. 河道演變
3.1. 河道歷史演變概況
河流側蝕作用強烈,在峽谷峭壁上形成了凹穴,經過地殼運動抬升的穩定期和活躍期的交替變化,在不同的高度上形成了一些列側蝕凹槽
上圖為河流側蝕凹槽 ,流動河水侵蝕凹岸,形成 凹槽,這是河流側向側蝕作用,被侵蝕的沉積物會被搬運到凸岸沉積

3.2. 河道近期演變分析
3.3. 河道演變趨勢分析

河流下切作用,與側向侵蝕相比,下蝕作用通常發生在地殼抬升期。在地殼抬升背景下,攜帶沉積物的水流不斷侵蝕河床,使得峽谷越來越深
4. 防洪評價分析與計算
4.1.路燈項目 水文分析計算
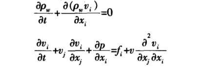
本報告采用HEC-RAS5.0.7版本進行計算,該軟件可對天然或人工河道進行一維恒定流和非恒定流的水力推演:可計算緩流、急流及混合流等各種流態;還可進行如防洪堤、橋梁、涵洞、堰閘、泵站等涉水建筑物的水面線分析計算:同時,能夠生成橫斷面形態圖、流量及水位過程曲線、河道三維斷面圖等分析圖表。該軟件操作便捷.適應范圍廣。
對于恒定流計算基于一維能量方程.采用直接步進法推求水面線,基本公式如下:
對于非恒定流計算基于一維連續性方程和動量方程,微分方程如下。

4.2. 路燈項目壅水和行洪能力分析計算

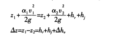
橋梁壅水高度采用《鐵路工程水文勘測設計規范》(TB10017-2021)推薦公式分析計算,公式為:
式中物理量依次為:
——橋前最大壅水高度(m);
——系數;
——斷面平均流速(m/s),為設計流量被全河過水斷面(包括邊灘和河灘)除得之商;
——橋下平均流速(m/s);
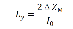
3、壅水長度
新建工程河段壅水曲線全長計算采用公式:

式中:
——壅水曲線全長(m);
——橋址河段天然水面坡度;
4.3. 路燈項目沖刷淤積計算與河勢影響分析
橋梁橋墩沖刷包括河床自然演變沖刷、一般沖刷和局部沖刷三部分,最大沖刷深度為上述三項之和。河床自然演變引起的沖刷和淤積目前尚無可靠的計算方法,其幅度較難量化。因此本次計算只考慮一般沖刷和局部沖刷兩部分。項目區域地層巖性多樣,區分粘性土和非粘性土計算沖刷深度。計算方法參考《公路工程水文勘測設計規范》(JTGC30-2015)。
4.4. 路燈項目堤防及岸坡穩定分析計算
5. 路燈項目防洪綜合評價
5.1. 建設 路燈項目與有關規劃符合性評價
5.2. 建設 路燈項目防洪標準和有關技術要求符合性評價
5.3. 建設 路燈項目對河道行洪的影響評價
5.4. 建設 路燈項目對河勢穩定的影響評價
5.5. 建設 路燈項目對堤防安全及岸坡穩定和其他水利工程影響評價
5.6. 建設 路燈項目對水利工程運行管理和防汛搶險的影響評價
5.7. 建設 路燈項目施工期影響評價
5.8. 建設 路燈項目對第三人合法水事權益的影響評價
6. 消除和減輕影響的措施
6.1. 消除和減輕影響措施
6.2. 建設 路燈項目消除和減輕影響的措施效果分析
7. 結論與建議 422
7.1. 防洪綜合評價主要結論
7.2. 消除和減輕影響措施的結論
7.3. 建議
8
附件
8.1. 附件
---------------------------------------------
生產本項目產品的主要企業分析
四川盛興實業有限責任公司 寧波前風振業照明電器有限公司 平邑縣道路標志設施廠 寧波興萊達燈具有限公司 江蘇華城照明燈具有限公司 濟南三星燈飾有限公司 大連通用路燈制造有限公司 揚州市英萊特燈飾制造有限公司 余姚市日月燈具有限公司 烏蘭浩特市光明燈具有限責任公司 寧夏佳美迪新能源科技有限公司 河南省周口新世紀道路照明有限公司 天長市安發特照明電器有限公司 揚州市松佳照明電器有限公司 上海寶雁照明器材有限公司 寧波前風振業照明電器有限公司 四川盛興實業有限責任公司 平邑縣道路標志設施廠 河南省周口新世紀道路照明有限公司 濟南三星燈飾有限公司 大連通用路燈制造有限公司 江蘇華城照明燈具有限公司 余姚市日月燈具有限公司 上海寶雁照明器材有限公司 寧夏佳美迪新能源科技有限公司 揚州市英萊特燈飾制造有限公司 天津港龍金屬制品開發工程有限公司 揚州市松佳照明電器有限公司 淅川縣神光電力燈具有限公司 寧波興萊達燈具有限公司 成都洪發燈飾電器有限公司 烏蘭浩特市光明燈具有限責任公司 安徽永豐新能源科技有限責任公司 滁州皖能欣科工貿有限公司 揚州市電器設備廠 天長市安發特照明電器有限公司 四川盛興電器附件有限責任公司 平邑縣道路標志設施廠 鹽都縣龍岡工礦燈具廠 江門冠盈電器有限公司 長葛市星月照明有限公司 太康縣新世紀道路照明有限公司 濟南三星燈飾有限公司 江蘇姚氏燈具有限公司 張家港市奔月路燈制造有限公司 丹陽市飛亞照明器材有限公司 青島市燈具二廠 高郵市燈具廠 長沙市大光明路燈燈飾有限公司 高郵市松泉環保工程設備有限公司 揚州市龍翔燈業制造有限公司 四川方源川月燈具有限公司 常州市華日升道路設施有限公司 滁州皖能欣科工貿有限公司 烏蘭浩特市光明燈具有限責任公司 四川盛興電器附件有限責任公司 蘇州市銀河照明有限公司 鹽都縣龍岡工礦燈具廠 江門冠盈電器有限公司 太康縣新世紀道路照明有限公司 青島市燈具二廠 臨沂市華信路燈有限公司 江蘇姚氏燈具有限公司 常州市華日升道路設施有限公司 天津時耐得照明電器有限公司 長沙市大光明路燈燈飾有限公司 四川方源川月燈具有限公司 青島創輝燈飾制造有限公司 滁州皖能欣科工貿有限公司 平邑縣道路標志設施廠 馬鞍山市晗天節能設備制造有限公司
---------------------------------------------
本縣位于亞熱帶北緣,土地肥沃,物產豐富,素有“魚米之鄉”之稱。植物資源豐富,東部雪堰、潘家低山丘陵地區盛產茶葉和桃、梨、葡萄等水果。境內有太湖湖(西太湖)、陽湖、宋建湖等自然湖泊,河港汊蕩縱橫交錯,淡水漁業資源豐富,適宜于魚、蟹、蝦、蚌等水產養殖。礦產資源主要有鄭陸的石膏礦,焦溪、新安等地的白泥、紫砂、陶土等,潘家、芙蓉等地的優質礦泉水。
---------------------------------------------
2010年本縣經濟社會呈現出了持續快速發展的良好局面,首次躋身西部百強縣,位居第76位。
一是主要經濟指標圓滿完成。實現地區生產總值86.77億元,為目標任務的105.77%,同比增長19.5%;完成財政收入21.55億元,為目標任務的109.82%,同比增長26.76%,其中:地方財政收入11.87億元,為目標任務的114.28%,同比增長32.9%;完成全社會固定資產投資59.18億元,為目標任務的106.1%,同比增長57.82%;城鎮居民人均可支配收入達到14300元,同比增長10.2%;農民人均現金收入達到4100元,同比增長10.6%。
二是工業發展勢頭良好。實現規模以上工業總產值75億元,同比增長26.3%;完成煤炭產量1408萬噸,同比增長13.27%。
三是“三農”工作穩步推進。“黔西北民居”建設進展順利,整縣推進農村危房改造20037戶,全部按期完工。

北京歡聚四方規劃設計有限公司旗下擁有甲級工程咨詢單位:北京華靈四方投資咨詢有限責任公司和乙級設計單位:四川鼎立晟攀建筑工程有限公司,公司致力于項目前期、設計階段,旗下公司業務覆蓋項目前期策劃、測繪、規劃、立項、節能評估、水資源評估、水土保持、防洪評價等,基本可以覆蓋大部分項目的前期服務,公司也擅長管理咨詢和投融資服務,旗下公司在市場調研、商業計劃書、管理咨詢、戰略規劃等領域均具有大量的成功案例。旗下公司承擔了近8000多個項目,行業覆蓋鐵路、能源、高新技術等國民經濟各個行業,也承擔政府投資項目第三方評審,為政府科學決策提供第三方咨詢服務。
更多我公司資深的專家團隊具有專業的理論知識和豐富的實戰功底,控股公司范圍內擁有8000多家客戶,海量的實踐經驗是服務質量的有力保障。公司可提供可行性研究報告、融資計劃書、商業計劃書、市場調研報告、資金申請報告、投資價值分析報告、社會穩定風險評估報告、節能評報告等策撰服務。
詳詢:13911268021沈先生









